Seja S o sistema de duas equações lineares a duas incógnitas, x e y, indicado abaixo, em que a, b, c e d são constantes reais nãonulas e u e v são números reais.
![]()
Acerca de S, assinale a opção correta.
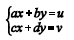
Seja S o sistema de duas equações lineares a duas incógnitas, x e y, indicado abaixo, em que a, b, c e d são constantes reais nãonulas e u e v são números reais.
![]()
Acerca de S, assinale a opção correta.