Magna Concursos
2630654 Ano: 2007
Disciplina: Matemática
Banca: FUMARC
Orgão: Pref. Betim-MG
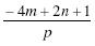
Se m = -2 , n = 3 e p = -15 , então o valor de Enunciado 2989704-1 é
 

Provas

Questão presente nas seguintes provas

Auxiliar de Farmácia

50 Questões

Auxiliar de Laboratório

50 Questões

Recepcionista

50 Questões