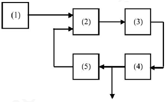
O circuito, cujo diagrama em blocos numerados de (1) a (5) é mostrado abaixo, é um PLL, e é muito usado em receptores e transmissores de RF.

A correta identificação desses blocos é:
Provas
Questão presente nas seguintes provas
O circuito, cujo diagrama em blocos numerados de (1) a (5) é mostrado abaixo, é um PLL, e é muito usado em receptores e transmissores de RF.

A correta identificação desses blocos é: