O coentro, erva originária do Mediterrâneo, é amplamente utilizado na culinária brasileira, especialmente na Região Nordeste. As folhas e frutos do coentro são estimulantes das funções digestivas. Na indústria cosmética e de perfumaria, o óleo essencial é utilizado na preparação de cremes para o rosto e corpo e em vários tipos de sachês.
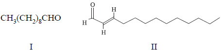
O sabor das folhas de coentro fresco deve-se aos constituintes do óleo essencial, entre os quais predominam as substâncias I e II, representadas a seguir:

As substâncias I e II