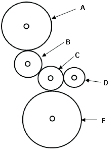
A figura a seguir mostra a representação esquemática de uma transmissão por engrenagens, cujos números de dentes são: A = 30, B = 20, C = não fornecido, D = 10 e E = 50. O círculo no interior de cada engrenagem mostra o eixo onde elas estão fixadas por meio de chavetas.

Desprezando as perdas inerentes à transmissão e sabendo que a engrenagem de 30 dentes gira a 1500 rotações por minuto, o número de rotações por minuto com o qual a engrenagem de 50 dentes gira é igual a: