Magna Concursos
1131566 Ano: 2016
Disciplina: Matemática
Banca: CESPE / CEBRASPE
Orgão: CPRM
Provas:

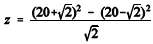
Depois das simplificações possíveis, o número enunciado 1131566-1 será igual a

 

Provas

Questão presente nas seguintes provas

Técnico em Hidrologia

50 Questões