Considere o diagrama de controle na figura a seguir.

A equação que representa corretamente a relação entre a entrada e a saída deste sistema é
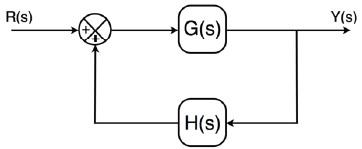
Considere o diagrama de controle na figura a seguir.

A equação que representa corretamente a relação entre a entrada e a saída deste sistema é