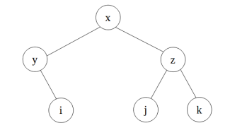
Considerando a estrutura de dados de árvore binária e sabendo que uma árvore binária possui 3 modos de percurso, a saber: Pré-Ordem, Ordem Simétrica (ou In-Ordem) e Pós-ordem; deseja-se desenvolver uma função usando a Linguagem de Programação C para imprimir todos os elementos de uma árvore binária, utilizando a ordem simétrica (ou In-Ordem). A título de ilustração, se considerarmos a árvore binária da figura abaixo, os elementos impressos em ordem simétrica seria: y i x j z k

O código abaixo representa a estrutura (struct) do nó da árvore. Qual alternativa permite imprimir a estrutura da árvore utilizando a ordem de percurso simétrica (ou In-Ordem).
Obs: considere a assinatura da função de imprimir como void p(A *a) e que “a” seja um ponteiro para o nó raiz de uma árvore binária válida.
