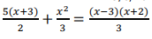
Qual o valor de x se obtém ao resolver a equação 
Provas
Questão presente nas seguintes provas
Agente Comunitário de Saúde
40 Questões
Auxiliar de Farmácia
40 Questões
Auxiliar de Saúde Bucal
40 Questões
Técnico de Enfermagem
40 Questões
Técnico de Segurança do Trabalho
40 Questões