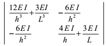
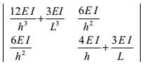
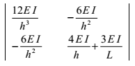
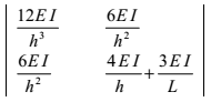
Na figura estão uma estrutura plana feita com barras do mesmo material e mesma seção transversal e o sistema de coordenadas. Admitindo que as barras sejam infinitamente rígidas ao esforço normal, assinale a alternativa com a matriz de rigidez correta.
