Magna Concursos
3468249 Ano: 2024
Disciplina: Matemática
Banca: Verbena
Orgão: Pref. Padre Bernardo-GO
Provas:

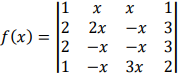
Considere a função real a seguir.

Enunciado 4031537-1

Então,

 

Provas

Questão presente nas seguintes provas

Professor - Matemática

60 Questões