Magna Concursos
203671 Ano: 2018
Disciplina: Engenharia Mecânica
Banca: UFPR
Orgão: UFPR
Provas:

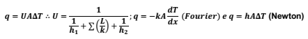
Considere um forno cujo ambiente interno deve ser mantido a 308 °C, com coeficiente de convecção natural de 10 W/m²K. A parede do forno possui uma área total de 5 m² e é composta por duas chapas metálicas de 10 mm de espessura, com condutividade térmica de 50 W/mK recheadas com um material isolante de 20 mm de espessura e condutividade térmica de 1 W/m²K. O ambiente externo está a uma temperatura de 20 °C, com um coeficiente convectivo forçado de 50 W/m²K. A transferência de calor por radiação pode ser desprezada. As expressões de calor utilizando o conceito fundamental de resistências térmicas, a lei de Fourier e a Lei do resfriamento de Newton são:

Enunciado 203671-1

Assinale a alternativa que indica o calor transferido aproximado e a temperatura aproximada da parede externa.

 

Provas

Questão presente nas seguintes provas

Engenheiro Mecânico

40 Questões