
Com referência ao texto I, julgue os itens a seguir.
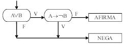
No fluxograma ilustrado abaixo, as instruções devem ser executadas seguindo-se o fluxo das setas de acordo com a avaliação da proposição que ocorre em cada caixa oval. Nesse caso, quando A e B têm valorações contrárias, a execução do fluxograma termina em NEGA.

Provas
Questão presente nas seguintes provas
Agente de Defesa Civil - Engenharia Civil
120 Questões
Agente Técnico - Analista de Banco de Dados
120 Questões
Agente Técnico - Analista de Redes
120 Questões
Agente Técnico - Analista de Sistemas
120 Questões
Agente Técnico - Designer Editorial e Gráfico
120 Questões
Agente Técnico - Designer Gráfico
120 Questões
Agente Técnico - Web Designer
120 Questões