Magna Concursos
3042968 Ano: 2023
Disciplina: Engenharia Química
Banca: FGV
Orgão: Pref. Belo Horizonte-MG
Provas:
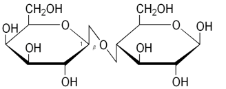
O estado de Minas Gerais é um dos maiores produtores de leite e derivados no Brasil. Na sua composição, além de proteínas e lipídeos, o leite apresenta a lactose como um açúcar importante, e sua estrutura pode ser visto a seguir.


Enunciado 3423931-1



Assinale a opção que indica o grupamento funcional que pode ser identificado na estrutura,
 

Provas

Questão presente nas seguintes provas

Engenheiro Químico

60 Questões