Magna Concursos
846028 Ano: 2019
Disciplina: Matemática
Banca: VUNESP
Orgão: Pref. São José dos Campos-SP
Provas:

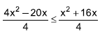
Ao resolver a inequação enunciado 846028-1 apresentou os seguintes passos:

Passo 1) 4x2 – 20x ≤ x2 + 16x

Passo 2) x · (4x – 20) ≤ x · (x + 16)

Passo 3) 4x – 20 ≤ x + 16

Passo 4) 3x ≤ 36

Resposta: x ≤ 12

Avaliando-se o procedimento apresentado pelo aluno, é correto afirmar que existe erro na passagem do

 

Provas

Questão presente nas seguintes provas

Professor - Matemática

50 Questões