
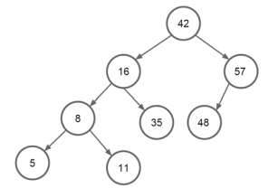
Considere a árvore binária apresentada.
Percorrer essa árvore utilizando o algoritmo de pre-oder resultará na seguinte sequência:

Considere a árvore binária apresentada.
Percorrer essa árvore utilizando o algoritmo de pre-oder resultará na seguinte sequência: