
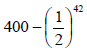
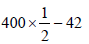
Um medicamento cuja meia-vida é de 6 horas é ministrado em doses de 400mg cada. Assinale a alternativa que apresenta a expressão numérica que indica a quantidade de medicamento ainda presente no organismo desta pessoa após 42 horas.
Provas
Questão presente nas seguintes provas