Magna Concursos
367470 Ano: 2019
Disciplina: Matemática
Banca: MS CONCURSOS
Orgão: Pref. Juti-MS
Provas:

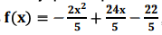
Raul deseja pintar a parede dos fundos de uma igreja que possui um formato parabólico dado pela função enunciado 367465-1, com x ∈ [1, 11]. A área que deverá ser pintada é:

 

Provas

Questão presente nas seguintes provas

Enfermeiro

40 Questões

Médico - Cirurgia Geral

40 Questões