2955420
Ano: 2023
Disciplina: TI - Desenvolvimento de Sistemas
Banca: COVEST-COPSET
Orgão: UFPE
Disciplina: TI - Desenvolvimento de Sistemas
Banca: COVEST-COPSET
Orgão: UFPE
Provas:
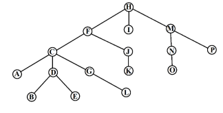
Considere uma árvore como ilustrada na figura a seguir.

Considerando que os nós mais à esquerda têm precedência sobre os nós mais à direita, e que só se imprime o elemento do nó na sua primeira visita, podemos dizer que as ordens de visitação aos nós, obtidas, primeiro, com uma busca em profundidade (DFS) e, depois, com uma busca em largura (BFS), nesta árvore, são, respectivamente: