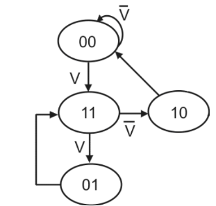
Dois flip-flops D devem implementar a sequência de estados QBQA do diagrama da figura a seguir.

A lógica de menor soma de produtos a ser usada para acionar DB é
Provas
Questão presente nas seguintes provas
Tecnologista Jr - Desenvolvimento de Sistemas
45 Questões
Tecnologista Jr - Satélites/Elétrica
45 Questões