Magna Concursos
951701 Ano: 2018
Disciplina: Matemática Financeira
Banca: CESPE / CEBRASPE
Orgão: SEFAZ-RS
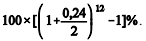
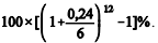
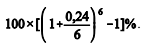
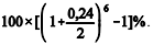
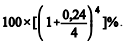
No regime de capitalização composta, se um banco faz empréstimos à taxa de juros de 24% ao ano, capitalizados bimestralmente, a taxa efetiva anual cobrada pelo banco é igual a
 

Provas

Questão presente nas seguintes provas

Assistente Administrativo Fazendário

80 Questões