No projeto educacional CENASTRO (Centro de Astronomia do IFPA), os alunos tiveram a curiosidade de encontrar a velocidade de um foguete após alguns segundos de seu lançamento. Para isso, fizeram as considerações iniciais:
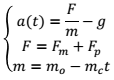
• A resistência do ar é desconsiderada;
• O movimento é regido pela 2ª lei de Newton (F = ma);
• A força (Fm) dos motores principais e a força (FP) dos propulsores de combustível são constantes;
• O foguete tem massa inicial mo;
• A massa (mc) do combustível reduz proporcionalmente com o tempo (t).
Traduzindo, matematicamente:

Sabendo que a função velocidade v(t) é a antiderivação da função aceleração a(t) e que a velocidade do foguete no instante t = 0 é zero, então: