- Química OrgânicaCadeias Carbônicas
- Química OrgânicaIsomeria Plana e Espacial
- Química OrgânicaPropriedades Químicas dos Compostos Orgânicos
- Química OrgânicaTipos de Reagentes e Mecanismos das Reações Orgânicas
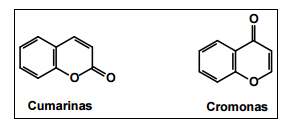
Representação molecular das cumarinas e cromonas As cumarinas são heterosídeos que apresentam diversas propriedades, entre elas a do dicumarol, que é anticoagulante. Atribuem-se às cumarinas muitas atividades farmacológicas, bioquímicas e terapêuticas, as quais dependem dos respectivos padrões de substituição. Elas possuem também isômeros naturais conhecidos como cromonas. PINEO, G.; HULL, R.D. Coumarin therapy in thrombosis. Hematology/ Oncology Clinics of North America, v. 17, p. 201-216, 2003, com adaptações.
Acerca dessas moléculas, assinale a alternativa correta.