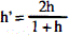
Considerando-se o teor de umidade como uma porcentagem h' do peso total da amostra, a relação entre h' e o teor de umidade h, convencionalmente expressa como porcentagem do peso seco da amostra é:
Considerando-se o teor de umidade como uma porcentagem h' do peso total da amostra, a relação entre h' e o teor de umidade h, convencionalmente expressa como porcentagem do peso seco da amostra é: