Magna Concursos
Questões
Planos
Entrar
Entrar
Criar Conta
Respondida
945730
Ano:
2008
Disciplina:
TI - Banco de Dados
Banca:
CESGRANRIO
Orgão:
BNDES
Provas:
Profissional Básico - Análise de Sistemas/Suporte
Provas
×
Banco de Dados Relacional
Transações
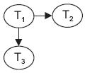
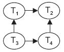
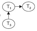
No âmbito de banco de dados, que grafo de precedência representa um escalonamento que
NÃO
é serializável quanto ao conflito?
A
B
C
D
E
Resolver
Comentários
0
×
Cadernos
×
Flashcards
×
Estatísticas
×
Reportar um erro
×
Provas
Questão presente nas seguintes provas
Profissional Básico - Análise de Sistemas/Suporte
70 Questões
Resolver Prova
Publicar
Responder
Qual o problema da questão?
Selecione uma opção
Questão Desatualizada
Questão Repetida
Gabarito Errado
Outros Motivos
Mensagem
Enviar
Acessar
Criar Conta
Acesse sua Conta
Google
Facebook
Esqueci minha senha
Acessar
Ainda não tem conta?
Crie uma
!
Crie uma Conta
Criar Conta
Olá, para continuar, precisamos criar uma conta!
É
rápido
e
grátis
.
Google
Facebook
Concordo com os
Termos de Uso
Criar
Já tem uma conta?
Acesse aqui