
A figura acima mostra um circuito elétrico alimentado por uma fonte em degrau, cuja amplitude é igual a 5 V. As condições iniciais no indutor e no capacitor são supostamente nulas e u(t) é um degrau unitário. Com base nessas informações, julgue os itens a seguir.
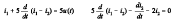
As correntes de malha i1(t) e i2(t) podem ser calculadas a partir da solução das equações diferenciais a seguir.
