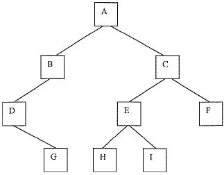
Analise a árvore binária a seguir.

Considerando os. percursos apresentados em Szwarcifiter e Markenzon (2010), assinale a opção que apresenta o percurso da árvore binária acima em ordem simétrica.
Provas
Questão presente nas seguintes provas
Analise a árvore binária a seguir.

Considerando os. percursos apresentados em Szwarcifiter e Markenzon (2010), assinale a opção que apresenta o percurso da árvore binária acima em ordem simétrica.