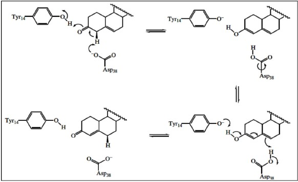
A figura a seguir representa o mecanismo reacional proposto para que a enzima cetosteroide isomerase possa modificar a ligação dupla de um esteroide.

(Bugg, T. Introduction to enzyme and coenzyme chemistry. Blackwell editor, 2004. – Com adaptações.)
Diante do exposto, é INCORRETO afirmar que