Magna Concursos
1456465 Ano: 2009
Disciplina: Química
Banca: CESPE / CEBRASPE
Orgão: IBRAM-DF

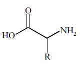
As proteínas, moléculas essenciais à vida, são formadas pela condensação de um número grande de aminoácidos. A estrutura geral de um aminoácido é apresentada ao lado, sendo que a variação do grupo R dá origem aos 20 diferentes aminoácidos que são utilizados pelas células na síntese das proteínas. No que se refere a aminoácidos e proteínas, julgue os itens subsequentes.

Enunciado 1456465-1

A ligação peptídica presente nas proteínas consiste em uma ligação covalente polar entre um átomo de nitrogênio de um aminoácido e o oxigênio do grupo carbonila de outro aminoácido, gerando um grupo funcional amida.
 

Provas

Questão presente nas seguintes provas

Analista Ambiental - Química

120 Questões