Considerando a gravitação universal e que o raio médio da
Terra seja de, aproximadamente, 6.400 km, julgue o item a seguir.
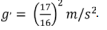
Suponha-se que um satélite de 1.000 kg esteja em órbita circular a uma altura de 400 km da superfície da Terra. Nesse caso, sabendo-se que a aceleração da gravidade na superfície é 10 m/s², é correto afirmar que o valor da aceleração gravitacional, aproximada, nessa altura é expressa por
Suponha-se que um satélite de 1.000 kg esteja em órbita circular a uma altura de 400 km da superfície da Terra. Nesse caso, sabendo-se que a aceleração da gravidade na superfície é 10 m/s², é correto afirmar que o valor da aceleração gravitacional, aproximada, nessa altura é expressa por