Seja a progressão geométrica (a1 , a2, … , an, … ) onde o primeiro termo a1 = 3 e a razão q = 1/4 .
Considere agora a função ƒ : N -> R definida por ƒ(n) = 
Marque a alternativa que contém o resultado de limn→∞ ƒ(n).
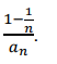
Seja a progressão geométrica (a1 , a2, … , an, … ) onde o primeiro termo a1 = 3 e a razão q = 1/4 .
Considere agora a função ƒ : N -> R definida por ƒ(n) = 
Marque a alternativa que contém o resultado de limn→∞ ƒ(n).