No tratamento preliminar do controle da poluição das águas é
usual o uso de desarenadores. Nesses reatores as partículas
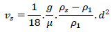
sedimentam de forma discreta seguindo a Lei de Stokes:

Onde: v é a velocidade de sedimentação da partícula, g é a gravidade (9,8 m/s2 ), µ é a viscosidade cinemática da água, ρs é a densidade da areia (2.600 kg/m3 ), ρ1 é a densidade da água (1.000 kg/m3 ) e d é o diâmetro da partícula.
Considere um afluente a 25º C em que o diâmetro das areias é de 0,8 mm. Sabendo que a viscosidade cinemática da água a essa temperatura é de 0,9 x 10–6 m/s2 , a velocidade de sedimentação do grão de areia é de

Onde: v é a velocidade de sedimentação da partícula, g é a gravidade (9,8 m/s2 ), µ é a viscosidade cinemática da água, ρs é a densidade da areia (2.600 kg/m3 ), ρ1 é a densidade da água (1.000 kg/m3 ) e d é o diâmetro da partícula.
Considere um afluente a 25º C em que o diâmetro das areias é de 0,8 mm. Sabendo que a viscosidade cinemática da água a essa temperatura é de 0,9 x 10–6 m/s2 , a velocidade de sedimentação do grão de areia é de