A máquina de Atwood é um dispositivo simples que permite,
pela determinação da aceleração dos corpos em movimento,
testar as leis da mecânica. Basicamente, a máquina é
constituída de dois corpos de massas m1 e m2 presos por um
cabo que circunda uma polia, conforme o sistema mostrado
na figura a seguir. A polia indicada na figura possui uma massa
tão pequena que pode ser desprezada. Também deve-se
considerar a massa do cabo e o atrito da polia com seu eixo
de rotação como desprezíveis, m1 > m2 e g = aceleração da
gravidade.

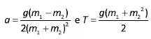
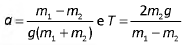
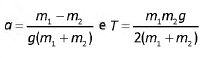
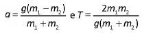
A partir do texto e da figura acima, assinale a alternativa que apresenta a expressão correta da aceleração (a) e da força de tração (T) no cabo.

A partir do texto e da figura acima, assinale a alternativa que apresenta a expressão correta da aceleração (a) e da força de tração (T) no cabo.