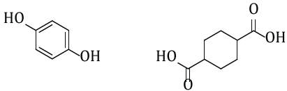
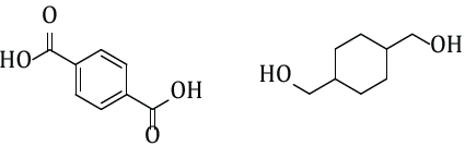
Os polímeros sintéticos são macromoléculas que apresentam várias aplicações e são úteis para a confecção de materiais de interesse. O Kodel® é um exemplo desse tipo de material e a sua estrutura está representada a seguir.

Kodel®
Os monômeros utilizados na síntese do Kodel® são