Magna Concursos
3108914 Ano: 2015
Disciplina: Química
Banca: IF-SC
Orgão: IF-SC

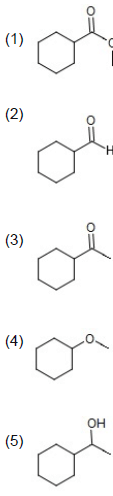
Sobre as funções orgânicas, associe corretamente a coluna da direita com a da esquerda.

Enunciado 3434951-1

( ) cetona
( ) álcool
( ) aldeído
( ) éster
( ) éter

Assinale a alternativa que contém a ordem CORRETA de associação, de cima para baixo.

 

Provas

Questão presente nas seguintes provas

Técnico de Laboratório - Química

40 Questões