
A figura acima mostra um circuito elétrico alimentado por uma fonte de tensão ideal e s . Nesse circuito, os elementos elétricos são supostamente ideais, sendo que os capacitores de capacitâncias C 1 e C 2 encontram-se descarregados no instante de tempo — t — igual a zero. A partir dessas informações, julgue os itens que se seguem.
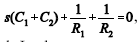
A equação característica desse circuito pode ser corretamente expressa por
, em que s é o operador da transformada de Laplace.
Provas
Questão presente nas seguintes provas