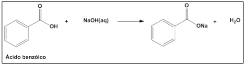
Uma massa de 0,10 g de ácido benzoico (112 g mol-1) foi dissolvida em solvente apropriado e transferida quantitativamente para um erlenmeyer e adicionaram-se gotas de fenolftaleína. Posteriormente, adicionou-se uma solução de NaOH (40 g mol-1) de concentração desconhecida que consumiu um volume de 8,0 mL. A reação química que ocorre entre o ácido e a base está apresentada na figura que segue.

A concentração, em mol L-1, da solução de hidróxido de sódio é, aproximadamente: