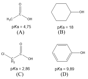
A respeito das propriedades ácido-base de compostos orgânicos, segundo Br⌀wnsted-Lowry, observe as
seguintes estruturas e seus respectivos valores de pKa.

Sobre o tema, marque V para as afirmativas verdadeiras e F para as falsas.
( ) Comparando os compostos (B) e (D), o composto (D) é mais ácido devido à distribuição de carga elétrica, fazendo o oxigênio do grupo -OH ficar mais positivo, portanto o próton é mantido com uma força menor. ( ) Em uma reação de (D) com NaHCO3 aquoso, ocorre a remoção de um próton do composto (D), formando um produto derivado de (D) solúvel em água. ( ) A maior acidez do composto (D) quando comparada à do (B) pode ser atribuída às estruturas dos híbridos de ressonância daquele composto apresentarem cargas nas posições meta em relação à hidroxila, tornando o oxigênio mais positivo. ( ) O composto (C) é mais ácido do que (A) devido ao efeito substituinte provocado pelo átomo de Cl.
Assinale a sequência correta.

Sobre o tema, marque V para as afirmativas verdadeiras e F para as falsas.
( ) Comparando os compostos (B) e (D), o composto (D) é mais ácido devido à distribuição de carga elétrica, fazendo o oxigênio do grupo -OH ficar mais positivo, portanto o próton é mantido com uma força menor. ( ) Em uma reação de (D) com NaHCO3 aquoso, ocorre a remoção de um próton do composto (D), formando um produto derivado de (D) solúvel em água. ( ) A maior acidez do composto (D) quando comparada à do (B) pode ser atribuída às estruturas dos híbridos de ressonância daquele composto apresentarem cargas nas posições meta em relação à hidroxila, tornando o oxigênio mais positivo. ( ) O composto (C) é mais ácido do que (A) devido ao efeito substituinte provocado pelo átomo de Cl.
Assinale a sequência correta.