Magna Concursos
1106600 Ano: 2016
Disciplina: Matemática
Banca: ZAMBINI
Orgão: MPE-SP

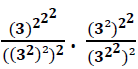
A expressão numérica abaixo apresenta como resultado

enunciado 1106600-1

 

Provas

Questão presente nas seguintes provas

Auxiliar de Promotoria - Motorista

50 Questões