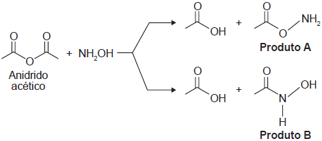
A hidroxilamina (!$ NH_2OH !$) é extremamente reativa em reações de substituição nucleofílica, justificando sua utilização em diversos processos. A reação de substituição nucleofílica entre o anidrido acético e a hidroxilamina está representada.

O produto A é favorecido em relação ao B, por um fator de !$ 10^5 !$. Em um estudo de possível substituição do uso de hidroxilamina, foram testadas as móleculas numeradas de 1 a 5.

Dentre as moléculas testadas, qual delas apresentou menor reatividade?
Provas
Questão presente nas seguintes provas