Magna Concursos
3001347 Ano: 2023
Disciplina: Engenharia Elétrica
Banca: CESGRANRIO
Orgão: Transpetro
Provas:
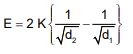
A equação abaixo foi proposta por Bond para associar a energia E por quantidade de massa necessária para quebrar partículas de minério, de forma que elas passem de diâmetro d1 para diâmetro d2 , onde d2 < d1 .

Enunciado 3400697-1


A dimensão da constante de Bond K da equação pode ser escrita como
 

Provas

Questão presente nas seguintes provas

Engenheiro Eletricista

70 Questões