Magna Concursos
2901141 Ano: 2013
Disciplina: Engenharia Eletrônica
Banca: CESPE / CEBRASPE
Orgão: INPI
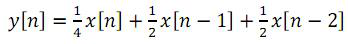
Considere que as entradas de filtros digitais sejam representadas por x[n] e que as saídas sejam representadas por y[n]. Com base nessas informações e nos conceitos relacionados a filtros digitais, julgue os itens subsequentes.
A equação Enunciado 3177314-1corresponde a um filtro digital do tipo FIR ( finite impulse response ).
 

Provas

Questão presente nas seguintes provas