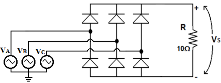
A figura a seguir representa o retificador trifásico de ponte completa, também, conhecido como ponte de “Graetz”, com carga resistiva e ligado a uma tensão de entrada trifásica de 127V/220V.
Considerando essas informações, determine, respectivamente, o valor da tensão média sobre o resistor de carga e a tensão reversa máxima sobre um diodo da ponte retificadora.
