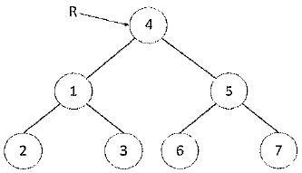
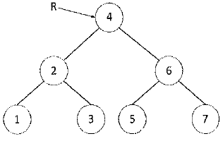
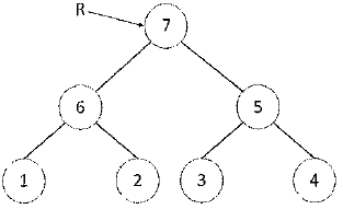
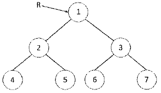
Considere a estrutura de dados Árvore Binária de Busca (ABB). Se uma ABB é composta pelos nós 1, 2, 3, 4, 5, 6 e 7, qual figura representa corretamente essa árvore ABB com raiz R?
Provas
Questão presente nas seguintes provas
Considere a estrutura de dados Árvore Binária de Busca (ABB). Se uma ABB é composta pelos nós 1, 2, 3, 4, 5, 6 e 7, qual figura representa corretamente essa árvore ABB com raiz R?