Magna Concursos
354883 Ano: 2018
Disciplina: Engenharia Eletrônica
Banca: FADESP
Orgão: IF-PA

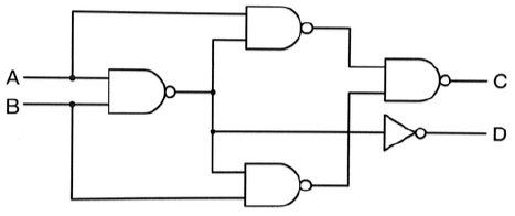
Considere o circuito digital abaixo.

enunciado 354883-1

É correto afirmar que

 

Provas

Questão presente nas seguintes provas

Professor PEBTT - Informática

60 Questões