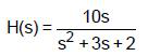
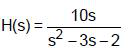
Um ensaio de resposta impulsional foi realizado com um sistema linear, invariante no tempo, a tempo contínuo, causal e monovariável. A resposta impulsional, calculada a partir da saída, é

Qual é a função de transferência do sistema?

Qual é a função de transferência do sistema?