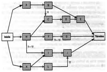
De acordo com o PMI/PMBok, um diagrama de rede do cronograma do projeto utiliza o método do caminho crítico, ilustrado na figura a seguir.

O diagrama utiliza quadrados ou retângulos para representar as atividades e conectá-las com flechas que indicam as relações lógicas que existem entre elas.
Essa ferramenta é denominada diagrama de:

O diagrama utiliza quadrados ou retângulos para representar as atividades e conectá-las com flechas que indicam as relações lógicas que existem entre elas.
Essa ferramenta é denominada diagrama de: