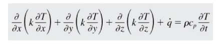
Na transferência de calor, uma equação muito utilizada no plano cartesiano é a equação da difusão de calor na sua forma geral:

A equação da difusão de calor pode ser reduzida mediante a dimensão do sólido, a ocorrência ou não de geração de energia, a variação ou não do sistema com o tempo.
Com relação a essa equação, qual das afirmativas a seguir é correta?