1717574
Ano: 2004
Disciplina: TI - Desenvolvimento de Sistemas
Banca: CESPE / CEBRASPE
Orgão: CTI
Disciplina: TI - Desenvolvimento de Sistemas
Banca: CESPE / CEBRASPE
Orgão: CTI
Provas:

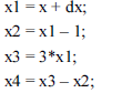
No projeto em alto nível de abstração, é usual representar o comportamento de um circuito por meio de algoritmos escritos em linguagens de programação, como C ou C++. Ignorando os problemas de entrada e de saída e assumindo que cada operação leva um ciclo de relógio e que a arquitetura do circuito deve seguir o modelo FSMD, de Gajsky (unidade de controle/unidade operativa), considere o problema de projetar um hardware que implemente o código acima apresentado. Com relação a essa situação, julgue os seguintes itens.
Levando-se em conta o problema do reescalonamento das operações, o código acima poderia ser executado em dois ciclos de relógio.