Magna Concursos
62707 Ano: 2008
Disciplina: TI - Desenvolvimento de Sistemas
Banca: Marinha
Orgão: Marinha

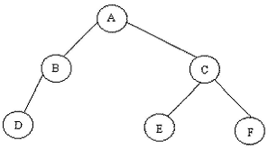
Analise a árvore abaixo.

Enunciado 3347292-1

Qual o percurso, em ordem simétrica, da árvore apresentada?

 

Provas

Questão presente nas seguintes provas